除尘论文:提高旋风除尘器对微细沙尘除尘效率研究
姚宇涵1,降华2
(中国铁建高新装备股份有限公司,云南昆明,650215)
(中国铁路兰州局集团有限公司,甘肃兰州,730000)
摘 要:本篇除尘论文“提高旋风除尘器对微细沙尘除尘效率研究”以TX-18铁路道床吸污装置中的除尘系统的旋风子作为模型,选用Ansys中CFD模块模拟了旋风除尘器在吸污过程中对粒径在5~200μm范围内的沙尘的除尘效率。通过轴向速度云图、径向速度云图,研究了排气管插入深度对除尘效率的影响。利用粒子追踪对沙尘颗粒在旋风除尘器进行分析,探讨了不同粒径的沙尘的运动轨迹。结果表明,当排气管道插入深度与与吸入口高度之比为0.8时,具有更好的除尘效率,其能够满足对粒径为大于40μm的沙尘在进行气固分离。
关键词:旋风子;两相流;流体力学;CFD
0 引 言
在铁路线路,当重载列车运行至坡道较大路段时,需要在机车车轮处洒沙,以增大车轮与钢轨表面摩擦力,机车洒下的沙子无法自动回收,将散落在铁路道床的表面及周围,若长时间得不到清理,将会掩埋钢轨、堵塞排水沟、破坏道床,危及列车的行车安全。
目前,由中国铁建高新装备股份有限公司研制的TX-18铁路道床吸污装置利用负压吸入方式对散落的细沙进行收集,在除尘系统中进行气固分离,除尘系统的旋风除尘器对细小颗粒的分离起着十分重要的作用。然而,经过碾压的细沙粒径较小(通常为70~200 μm),难以有效的实现气固分离[1, 2]。
切向入口旋风子由于其结构容易加工,造价成本低,因此作为重要的工业除尘器[3]。通常大颗粒沙尘由于自身体积的原因能够在离心力的影响下被抛向器壁,并在自身重力和向下气流的作用下沿筒壁沉降至排尘口,收集于设备底部的储存区。然而,小颗粒沙尘由于自身重力的因素不能脱离旋转气流而随其一起由于筒壁倾斜而收缩向中心流动,然后形成二次涡流(内漩涡)向上运动,经由排气管直接排出,从而降低对小颗粒沙尘的除尘效率[4,5]。
本篇除尘论文通过调节排气管插入深度来提高除尘效率的方法。通过对原旋风子的流场进行仿真分析,确定外漩涡与内漩涡的边界、微细沙尘的运动轨迹,从而确定最佳排气管插入深度,提高气固分离率,最终提高对微细沙尘除尘效率。
1 模型建立
1.1 数学模型
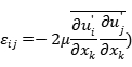
旋风模拟常用的模型有三种:k-ε模型、代数应力模型(ASM)和RSM。k-ε模型采用各向同性湍流假设,因此它不适用于具有各向异性湍流的旋流器中的流动[6]。ASM无法预测强旋流中的回流区和朗肯涡。RSM放弃了各向同性湍流的假设,并解决了雷诺应力各分量的迁移方程,它被认为是最适合旋流的湍流模型[7]。
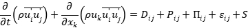
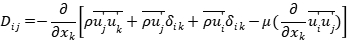
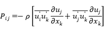
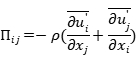
在RSM中,各分量的迁移方程如式(1)所示。

(1)
其中,其中,t为时间;u为瞬时速度;p为密度;ū为轴向时间平均速度;左边的两个项分别是时间同应力及迁移方程的倒数;右边五项分别代表了:
应力扩散项
剪切应力项
压应力项
耗散项
源项
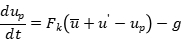
在本篇除尘论文中的建模中,并未引入颗粒之间的相互作用,仅计算粒子上的重力和气体阻力。其中气体阻力被分解为两个分量:一个是由流体的平均速度引起的,另一个是由流体的分散速度引起的。则环境温度下两相流中颗粒的动量方程可表示为:

1.2 物理模型及网格划分
为了不失一般性,仿真计算的模型如图1(a)所示,吸入口高度360 mm,宽度240 mm;直筒段高度为720 mm;排气管插入深度360 mm;直筒段内径720 mm;排气管的直径240 mm;排尘口直径180 mm;锥段的倾斜角12°。
图1(b)显示了包含62429个CFD单元的计算域。整个计算区域由结构化六面体网格划分。在靠近排尘口、排气口和吸入口的区域进行了网格细化。入口气体速度为20 m/s,出口除的气体压力为1 atm。颗粒使用的材料为典型沙尘,其密度为0.65 g/cm3。

图1 仿真计算的模型示意图(a)及网格划分(b)
2 结果及讨论
2.1 排气管插入深度对气固分离效率的影响